Professor Yunqi Liu and Professor Bin Wang published in SCIENCE CHINA Physics, Mechanics & Astronomy, SCPMA
The recent publication in the English edition of 'SCIENCE CHINA Physics, Mechanics & Astronomy, SCPMA' featured the paper 'Critical scalarization and descalarization of black holes in a generalized scalar-tensor theory' authored by our esteemed faculty members, Professors Yunqi Liu and Bin Wang, in Volume 66, Issue 10 of 2023.
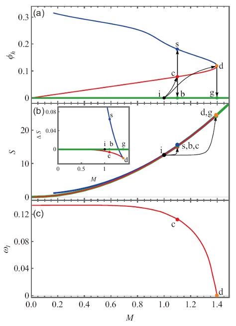
This paper delves into the fully nonlinear dynamical evolution within a scalar-tensor theory that couples the scalar field with Gauss-Bonnet invariants and the Ricci scalar. It meticulously examines the critical dynamics associated with the processes of scalarization and descalarization within this theoretical framework. The study investigates how the presence of the Gauss-Bonnet term triggers the scalarization of black holes, revealing Type-I critical phenomena during the scalarization process, unstable critical solutions at the threshold, and the role of attractors in dynamic scalarization.
In the context of descalarization, the paper uncovers the existence of a marginally stable attractor at the first-order phase transition point where the black hole's scalar hair is removed. This discovery represents a novel Type-I critical phenomenon within black hole phase transitions. The significance of these findings is thoroughly discussed, considering the implications for black hole thermodynamics and perturbations in static solutions.



Furthermore, addressing the ill-posed nature of this scalar-tensor theory, the study explores the impact of the coupling between the scalar field and the Ricci scalar on the hyperbolic characteristics of the fully nonlinear evolution. It demonstrates how this coupling can suppress elliptic regions and broaden the parameter space, enhancing the theory's viability.
Y. Liu, C.-Y. Zhang, Q. Chen, Z. Cao, Y. Tian, and B. Wang, Critical scalarization and descalarization of black holes in a generalized scalar-tensor theory, Sci. China-Phys. Mech. Astron. 66, 100412 (2023), https://doi.org/10.1007/s11433-023-2160-1